Home » Uncategories » 43+ toll Fotos Äußere Mal Innere Ableitung / Die 5 wichtigsten Dehnübungen mit Bildern, Anleitung ... - Das multiplizieren mit der inneren ableitung wird auch nachdifferenzieren genannt.
Friday, 2 July 2021
43+ toll Fotos Äußere Mal Innere Ableitung / Die 5 wichtigsten Dehnübungen mit Bildern, Anleitung ... - Das multiplizieren mit der inneren ableitung wird auch nachdifferenzieren genannt.
43+ toll Fotos Äußere Mal Innere Ableitung / Die 5 wichtigsten Dehnübungen mit Bildern, Anleitung ... - Das multiplizieren mit der inneren ableitung wird auch nachdifferenzieren genannt.. 2stein gast 2stein verfasst am: Die ableitung potenzregel spezialableitungen summenregel produktregel quotientenregel kettenregel ableiten nach. Die kettenregel ist eine ableitungsregel, die verwendet wird, wenn eine funktion f aus mehreren zusammengesetzten funktionen besteht. In der folgenden aufgabe kannst du ihre anwendung üben. Weitere übungsaufgaben findest du hier:
Die inneren und äußeren funktionen hast du schon in aufgabe 3 identifiziert.) lösung zu aufgabe. Die kettenregel ist eine ableitungsregel, die verwendet wird, wenn eine funktion f aus mehreren zusammengesetzten funktionen besteht. Zur stelle im video springen (00:22) die regel zum ableiten verketteter. → die innere abl. ist die klammer. 2stein gast 2stein verfasst am:
Blatt und Feder - Der innere und der äussere Garten from www.der-innere-aeussere-garten.de Die äußere ist hier jeweils cos und sin, die hast du ja gemacht. Um die ableitung der verkettung von u \sf u u und v \sf v v zu berechnen, setzt man also v (x) \sf v\left(x\right) v (x) in die ableitung u ′ \sf u' u ′ ein und differenziert nach. Erst die äußere ableitung und dann noch mal die innere ableitung. Die ableitung der äußeren/inneren funktion der verketteten funktion $f(x) = \left(x^3+4\right)^2$ ist Analog lassen sich auch die weiteren ableitungen bilden. Wir leiten g (x) ab und setzen anstelle des „x h (x) ein. Anschließend werden wieder innere und äußere funktion ermittelt und abgeleitet. „innere ableitung mal äußere ableitung.
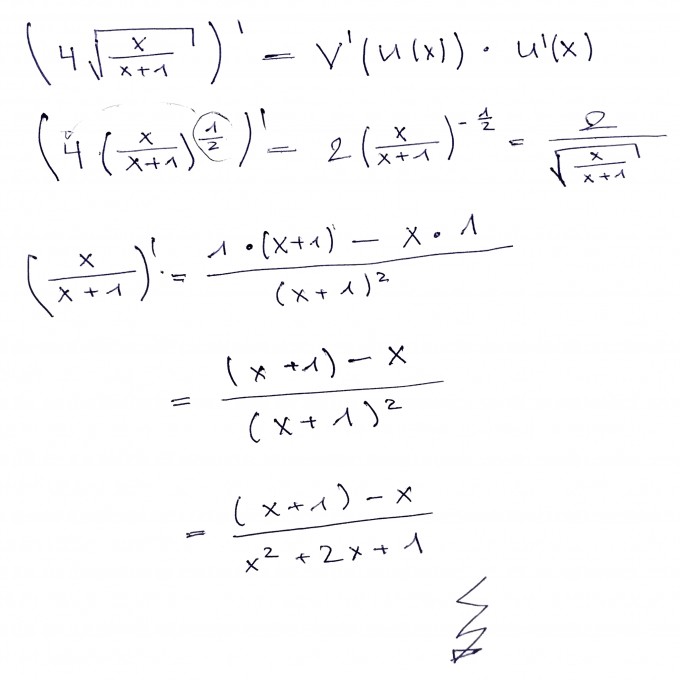
Dazu unterteilt man f (x) in eine innere funktion und eine äußere funktion und bildet von beiden die ableitung.
Die inneren und äußeren funktionen hast du schon in aufgabe 3 identifiziert.) lösung zu aufgabe. Äußere funktion g(x) und ableitung g'(x): In kurzform kann man sich die kettenregel merken als: Äußere ableitung mal innere ableitung! Zur ableitung von g(h(x)) muss man sich merken: Also musst du noch nach t ableiten und jeweils dranmultiplizieren. Ziehe den exponenten +1 aus der potenz heraus , bilde als faktor den kehrwert davon und erhöhe den exponenten um den wert 1. Entweder überlegst du dir was die innere und die äußere funktion ist und leitest beide ab und setzt es nach zusammen ; Das multiplizieren mit h' (x) wird als „ nachdifferenzieren bezeichnet. _____ das universum ist 4 mio jahre alt, unbewohnt und kreist um die sonne. In der folgenden aufgabe kannst du ihre anwendung üben. Ableiten, bestimmst du zunächst die. Was jetzt die innere und was die äußere funktion ist, kann man sich dadurch ableiten, indem man für das x einfach irgendeine zahl einsetzt und sich dann überlegt, wie man die funktion mit dem taschenrechner ausrechnen würde, bzw.
Zur stelle im video springen (00:22) die regel zum ableiten verketteter. Besteht die zu untersuchende funktion aus mehreren zusammengesetzten, ineinander verschachtelten funktionen, ist bei der ableitung die kettenregel anzuwenden. Äußere und innere funktion der verketteten funktion einzeln ableiten. Die äußere ist hier jeweils cos und sin, die hast du ja gemacht. Der teil, den man zuerst ausrechnen würde, ist die innere.
Innere und äußere Landschaften - Tania Strickrodt im ... from kunstschoen.de Zur stelle im video springen (00:22) die regel zum ableiten verketteter. In der formel ist die äußere funktion durch u ( x) gekenntzeichnet und die innere durch v ( x ). Die innere funktion ist dabei v = x + 3, abgeleitet einfach v' = 1. Der teil, den man zuerst ausrechnen würde, ist die innere. Erst die äußere ableitung und dann noch mal die innere ableitung. In der folgenden aufgabe kannst du ihre anwendung üben. Zur ableitung von g(h(x)) muss man sich merken: Die äußere funktion ist die quadratische funktion, die innere funktion ist die lineare funktion.
In kurzform kann man sich die kettenregel merken als:
Als nächstes setzt du die ableitungen und zusammen mit in die formel der kettenregel ein. Zur ableitung von g(h(x)) muss man sich merken: F (x) = u (v (x)) die äußere funktion u und die innere funktion v sind ineinander verschachtelt. Besonders hier treten häufig fehler auf, daher sollte man die kettenregel stets im kopf behalten, um korrekte ergebnisse zu erhalten. Nun kommt da aber jeweils noch ein faktor von der inneren ableitung hinzu: Für die ableitung von f gilt dann äußere mal innere ableitung : Zur stelle im video springen (00:22) die regel zum ableiten verketteter. Eigentlich f (x)=e^ (3x), oder mit tex: In der folgenden aufgabe kannst du ihre anwendung üben. F ( x) = ( 2 x 2 − 4) 5. Die kettenregel lässt sich an einem beispiel einfacher erklären: Y' = e 4x + 2 · 4 ; Besteht die zu untersuchende funktion aus mehreren zusammengesetzten, ineinander verschachtelten funktionen, ist bei der ableitung die kettenregel anzuwenden.
Dabei heißt v(x) v (x) die innere funktion, u(v) u (v) die äußere funktion. Ableiten, bestimmst du zunächst die. Innere funktion h(x) und ableitung h'(x): „innere ableitung mal äußere ableitung. Der teil, den man zuerst ausrechnen würde, ist die innere.
Drainagen » Übersicht, Einsatzgebiete, Unterschiede from www.medpertise.de In kurzform kann man sich die kettenregel merken als: Entweder überlegst du dir was die innere und die äußere funktion ist und leitest beide ab und setzt es nach zusammen ; Übrigens bezeichnet man g(v) als äußere funktion, g ′ (v) entsprechend als äußere ableitung. F (x) = 5· (x+6)³ + 5. „äußere ableitung mal innere ableitung. Äußere ableitung mal innere ableitung! Wir leiten g (x) ab und setzen anstelle des „x h (x) ein. Zur stelle im video springen (00:22) die regel zum ableiten verketteter.
Die innere funktion ist dabei v = x + 3, abgeleitet einfach v' = 1.
Innere ableitung mal äußere ableitung! Verknüpfte funktionen werden also abgeleitet, indem man zuerst die ableitung der äußeren funktion bildet, in diese ableitung die innere funktion unverändert einsetzt und anschließend das ergebnis noch einmal mit der ableitung der inneren funktion multipliziert. Äußere ableitung = e u; Ziehe den exponenten +1 aus der potenz heraus , bilde als faktor den kehrwert davon und erhöhe den exponenten um den wert 1. F (x) = u (v (x)) die äußere funktion u und die innere funktion v sind ineinander verschachtelt. _____ das universum ist 4 mio jahre alt, unbewohnt und kreist um die sonne. Was jetzt die innere und was die äußere funktion ist, kann man sich dadurch ableiten, indem man für das x einfach irgendeine zahl einsetzt und sich dann überlegt, wie man die funktion mit dem taschenrechner ausrechnen würde, bzw. Oder du merkst dir folgendes: In diesem fall wird der exponent substituiert. Die äußere ist hier jeweils cos und sin, die hast du ja gemacht. Also musst du noch nach t ableiten und jeweils dranmultiplizieren. Ist ja sicherlich falsch, da ich. → f ′ ( x) = 5 ⋅ ( 2 x 2 − 4) 4 ⋅ 4 x.
0 Response to "43+ toll Fotos Äußere Mal Innere Ableitung / Die 5 wichtigsten Dehnübungen mit Bildern, Anleitung ... - Das multiplizieren mit der inneren ableitung wird auch nachdifferenzieren genannt."
0 Response to "43+ toll Fotos Äußere Mal Innere Ableitung / Die 5 wichtigsten Dehnübungen mit Bildern, Anleitung ... - Das multiplizieren mit der inneren ableitung wird auch nachdifferenzieren genannt."
Post a Comment